Flutter跨平台开发实战: 鸿蒙与离散数学系列:排列组合与 UI 布局的艺术
本文探讨了排列组合数学在鸿蒙应用UI开发中的核心作用。通过排列(Permutation)和组合(Combination)原理,开发者可以从有限的素材(如5种颜色、3种卡片尺寸)生成大量不重复的视觉方案。文章详细介绍了排列组合的数学定义、二项式定理应用,并设计了基于Flutter的系统架构,包括动态布局生成器和核心算法实现。实战案例展示了如何生成120种配色方案和随机瀑布流布局。这种数学方法不仅能提
有限的元素,无限的排布。排列组合是生成多样化 UI 的数学引擎。
前言
在追求极致体验的鸿蒙(OpenHarmony)应用开发中,“灵动”与“多样性”是高级感的核心。为什么有些瀑布流布局百看不厌?为什么有些动态主题色调总是和谐?这背后的功臣是离散数学中的组合数学(Combinatorics)。
通过排列(Permutations)与组合(Combinations),我们可以通过极少的基础素材(如 5 种基础色、3 种卡片尺寸),推导出成千上万种不重复的视觉呈现方案。本篇将深入探讨排列组合原理,并演示如何将其应用于动态皮肤生成与瀑布流布局。
目录


一、 排列与组合的数学定义
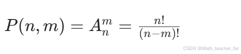
1. 排列 (Permutation, P P P)
从 n n n 个不同元素中取出 m m m 个元素,并按特定顺序排成一列。![[ P(n, m) = A_n^m = \frac{n!}{(n-m)!} ]](https://i-blog.csdnimg.cn/direct/f0b329d819684193af0bd71d3894b9fa.png)
业务场景:多图轮播的顺序、用户自定义底部导航栏的图标排序。
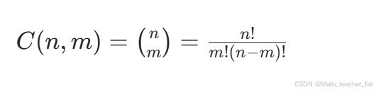
2. 组合 (Combination, C C C)
从 n n n 个不同元素中取出 m m m 个元素,不考虑顺序。![[ C(n, m) = \binom{n}{m} = \frac{n!}{m!(n-m)!} ]](https://i-blog.csdnimg.cn/direct/5cc3e10663234f77915567f6e4317559.png)
业务场景:从 10 种颜色中随机挑选 3 种作为主题色、在 50 种商品中抽选 5 种做限时抢购。
二、 二项式定理与 UI 概率空间
二项式定理描述了 ( x + y ) n (x+y)^n (x+y)n 的展开。在 UI 开发中,它常用于计算复合状态的分布。
例如,如果一个组件有 4 个可独立切换的开关(如:圆角/直角、有阴影/无阴影等),其总组合数即为 2 n 2^n 2n(基于二项式系数的和 ∑ ( n k ) = 2 n \sum \binom{n}{k} = 2^n ∑(kn)=2n)。理解这种分布有助于我们设计更具鲁棒性的单元测试用例。
三、 系统架构设计
我们要构建一个动态布局生成器。
1. 业务流程图 (Flowchart)
2. 系统类图 (UML)
四、 Flutter 核心代码实现:组合生成算法
在 Flutter 中,我们可以编写通用的组合生成器来驱动 UI。
核心代码片段:
// 1. 随机打乱序列 (全排列的一个随机实例)
List<T> shuffle<T>(List<T> items) {
var list = List<T>.from(items);
list.shuffle(); // 基于 Fisher-Yates 算法
return list;
}
// 2. 从集合中随机取 k 个元素 (组合的一个实例)
List<T> sample<T>(List<T> items, int k) {
if (k > items.length) return items;
var list = List<T>.from(items);
list.shuffle();
return list.take(k).toList();
}
五、 实战案例演练
在 lib/main.dart 中,我们实现了一个名为 “Harmony Layout Explorer” 的系统:
- 动态色彩组合:从一个精心挑选的调色板( n = 10 n=10 n=10)中,基于 C ( 10 , 3 ) C(10, 3) C(10,3) 随机生成 120 种可能的皮肤配色方案。
- 随机高度瀑布流:模拟瀑布流卡片的排列。通过对宽度和高度的随机排列,展示如何利用组合数学打破视觉疲劳。
- 排列组合计算器:实时计算 P ( n , m ) P(n, m) P(n,m) 和 C ( n , m ) C(n, m) C(n,m),让开发者直观感受到 UI 可能性的指数级增长。
六、 总结与展望
排列组合是解决“素材少、需求多”的核心良药。
- 视觉多样性:通过简单的数学变换,实现“千人千面”的个性化布局。
- 测试覆盖率:通过计算组合总数,帮助开发者设计更完备的边缘测试。
- 动态性能:理解排列逻辑有助于优化列表的 Diff 算法。
下一篇预告:我们将回归数学的底层关系——二元关系与等价类,探讨如何在鸿蒙分布式设备间进行高效的数据同步与冲突处理。
欢迎加入开源鸿蒙跨平台社区:https://openharmonycrossplatform.csdn.net
更多推荐



所有评论(0)